Coefficiente di consolidazione primaria (Cv)
Quando il terreno è caricato da una fondazione hanno sempre luogo dei cedimenti. Tale cedimenti non sono elastici come nel caso della compressione dell’acciaio o del calcestruzzo, ma derivano da una serie di movimenti, scivolamento, scorrimento tra le particelle di terreno. Disponendo di una relazione tra sforzo e deformazione, si può calcolare un modulo sforzi-deformazione Es. Mediante tale modulo è possibile calcolare il cedimento. Nel caso di terreni Es non è di facile determinazione. Nei terreni insaturi o saturi a grana grossa il drenaggio avviene quasi istantaneamente ed i cedimenti si possono calcolare senza preoccuparsi del tempo di consolidazione. Nei terreni saturi a grana fine oltre al cedimento è necessario valutare un parametro temporale. A tal scopo si ricorre alle prove di consolidazione. Tramite queste prove è possibile ricavare un parametro di comprimibilità per la valutazione del cedimento totale ed un parametro di consolidazione per la valutazione della velocità del cedimento. Da queste prove si può valutare anche OCR (grado di sovraconsolidazione). La prova consiste nell’applicare una serie di incrementi di carico e registrare le deformazioni ad intervalli di tempi stabiliti. I punti tempo-deformazione sono riportati su un grafico in scala semilogaritmica. Dai diagrammi è possibile ricavare il tempo associato ad una percentuale di consolidazione. Il valore t50 (tempo corrispondente al 50% ) è quello più comunemente usato. Il parametro t50 è usato per il calcolo del coefficiente di consolidazione volumetrica Cv.
Cv=Ti×H2/ti Ti: Fattore temporale; H: Lunghezza del percorso di drenaggio; Ti: tempo necessario affinchè avvenga i% della consolidazione in genere si usa il t50;
La pendenza del tratto iniziale della curva edometrica è detta indice di ricompressione Cr. La pendenza del tratto successivo al ginocchio, ovvero alla pressione di consolidazione, è detta indice di compressione Cc. La pendenza del tratto di scarico tensionale è detta indice di rigonfiamento Cs. I valori tipici di Cc sono compresi tra 0.1 e 0.8. Cs è dell'ordine 1/5-1/10 del valore di Cc.
Per una stima approssimata degli indici di può ricorrere alle relazioni sotto riportate. |
|
Coefficiente di consolidazione verticale Cv
La teoria della consolidazione edometrica di Terzaghi si basa sulle seguenti ipotesi semplificative:
1. Consolidazione monodimensionale, cioè filtrazione e cedimenti in una sola direzione (verticale);
2. Incompressibilità dell’acqua (ρw = cost.) e delle particelle solide (ρs = cost.);
3. Validità della legge di Darcy;
4. Terreno saturo, omogeneo, isotropo, con legame sforzi-deformazioni elastico lineare, a permeabilità costante nel tempo e nello spazio;
5. Validità del principio delle tensioni efficaci.
L’equazione differenziale della consolidazione monodimensionale di Terzaghi può essere espressa come:
![]()
Cv coefficiente di consolidazione verticale, ue= ue(z, t) rappresenta, il valore dell’eccesso di pressione neutra nel punto a quota z, e al tempo t dall’istante di applicazione del carico.

K: Permeabilità;
γw: Peso specifico acqua;
Cc: Coefficiente compressibilità;
Indice di compressione (Cc)
La pendenza del tratto successivo al ginocchio della curva edometrica ovvero alla pressione di consolidazione è detta indice di compressione, Cc.
Skempton (1944)
![]()
wL: Limite liquido;
Terzaghi e Peck (1967)
![]()
wL: Limite liquido;
Indice di ricompressione (Cr) Nagaraj e Murthy 1985
La pendenza del tratto iniziale della curva edometrica è detta indice di ricompressione Cr.
![]()
wL:Limite liquido;
γs: Peso specifico terreno;
γw: Peso specifico acqua;
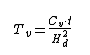
Fattore di consolidazione TV
Fattore di tempo

![]()
|
© Geostru Software