El método de Andrus e Stokoe se basa en resultados de ensayos sísmicos de refracción (Vs).
La velocidad de las ondas de cizalla se corrige con la sobrepresión, usando la ecuación (Robertson et al., 1992):

donde
VS1 velocidad de las ondas de corte corregida de sobrepresión;
VS velocidad de las ondas de corte medida in situ;
Pa presión atmosférica (aproximadamente 100 kPa);
σ’vo presión efectiva inicial en las mismas unidades de la Pa.
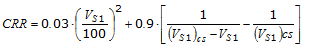
Para calcular la resistencia a la licuefacción, Andrus y Stokoe sugieren la siguiente relación:

donde la presencia de finos FC (%) interviene en el modelo de cálculo a través de las siguientes indicaciones:

La Relación de Tensión Cíclica CSR se calcula con la fórmula presentada en la Introducción a los métodos simplificados de esta Guía. Para otras magnitudes se debe hacer la corrección con el factor correctivoMSF tal como como sugiere el NCEER (véase Tabla 1 - método Seed Idriss).
© GeoStru Software