La verifica a schiacciamento della sezione di attacco mensola di elevazione-fondazione si esegue tenendo conto delle forze agenti (momento flettente e sforzo normale).
Nella tabella di sintesi riportata in relazione (sollecitazioni sul muro) le azioni sono riferite al baricentro della relativa sezione.
L’eccentricità si calcola dalla relazione :
![]()
Sfruttando l’eccentricità così calcolata si determina u ovvero la distanza tra il punto di applicazione della risultante delle azioni verticali Fy e il bordo esterno della fondazione.:
![]()
Se u < B/3 ed e > B/6, la risultante delle azioni verticali Fy è esterna al nocciolo centrale d’inerzia, la sezione si parzializza e la tensione massima di compressione si calcola dalla relazione:
![]()
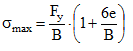
Se u > B/3 ed e < B/6, la risultante delle azioni verticali Fy è interna al nocciolo centrale d’inerzia, la sezione è interamente compressa, la tensione massima di compressione vale:

e u = B/3 ed e= B/6, Fy è coincidente con il nocciolo centrale d’inerzia, la sezione è interamente sollecitata a compressione con diagramma triangolare, la tensione massima di compressione è data da:
![]()
![]()

© 2015 Geostru Software