RELAZIONE DI CALCOLO
Introduzione.
Le paratie sono opere di ingegneria civile che trovano molta applicazione in problemi legati alla stabilizzazione di versanti o al sostegno di rilevati di terreno. Tuttavia è anche facile sentire parlare di paratie che sono utilizzate per l’ormeggio di grandi imbarcazioni, o per puntellare pareti di trincee e altri scavi o per realizzare cassoni a tenuta stagna per lavori subacquei. Come si può quindi intuire grande importanza deve essere data alla progettazione di una simile opera, soprattutto per quanto riguarda il progetto strutturale e geotecnico. Per quanto riguarda l’aspetto del calcolo vale la pena sottolineare che non esistono, ad oggi, metodi esatti, e questo è anche dovuto alla complessa interazione tra la profondità di scavo, la rigidezza del materiale costituente la paratia e la resistenza dovuta alla pressione passiva. In ogni caso, i metodi correntemente utilizzati possono essere classificati in due categorie:
| 1. | Metodi che si basano su una discretizzazione del modello di paratia (si parla di differenze finite o di elementi finiti); |
| 2. | Metodi che si basano su congetture di tipo semplicistico, al fine di poter affrontare il problema con il semplice studio dell’equilibrio di un corpo rigido. |
Tra le due classi di metodi esposti all’elenco precedente, quello degli elementi finiti è quello che più di tutti risulta razionale, in quanto basato su considerazioni che coinvolgono sia la statica del problema (equilibrio) sia la cinematica (congruenza).
Tipi di paratie.
I tipi di paratie maggiormente utilizzate allo stato attuale possono essere classificati come segue:
| 1. | Paratie in calcestruzzo armato, costruite per mezzo di pali o per mezzo di setti (entrambi armati); |
| 2. | Paratie di legno; |
| 3. | Paratie in acciaio. |
Analisi della paratia.
Alcune considerazioni preliminari.
Gli elementi che concorrono al calcolo di una paratia sono vari. Si coinvolgono infatti concetti legati alla flessibilità dei pali, al calcolo della spinta del terrapieno, alla rigidezza del terreno ecc. Si osservi la seguente figura:

Figura 1: Schema delle pressioni agenti sulla paratia
Si vede che le pressioni laterali che sono chiamate a concorrere nell’equilibrio sono la pressione attiva sviluppata a tergo della paratia e la pressione passiva che si sviluppa nella parte anteriore della paratia (Parte di valle della paratia). Il calcolo, sia nell’ambito dei metodi semplificati che nell’ambito di metodi numerici, della spinta a tergo ed a valle della paratia viene solitamente condotto sia con il metodo di Rankine che con il metodo do Coulomb. Si rileva però che il metodo di Coulomb fornisce risultati più accurati in quanto essendo la paratia un opera solitamente flessibile, e manifestando quindi spostamenti maggiori si generano fenomeni di attrito all’interfaccia paratia-terreno che possono essere tenuti in conto solo attraverso i coefficienti di spinta di Coulomb. Nell’utilizzo del metodo degli elementi finiti si deve calcolare anche un coefficiente di reazione del terreno ks, oltre che la spinta attiva e passive del terreno. Se si parla di analisi in condizioni non drenate è inoltre necessario conoscere il valore della coesione non drenata. E’ inoltre opportuno considerare che se si vuole tenere debitamente in conto l’attrito tra terreno e opera si deve essere a conoscenza dell’angolo di attrito tra terreno e opera (appunto). In conclusione i parametri (in termini di proprietà del terreno) di cui si deve disporre per effettuare l’analisi sono i seguenti:
| 1. | Angolo di attrito interno del terreno; |
| 2. | Coesione del terreno; |
| 3. | Peso dell’unità di volume del terreno; |
| 4. | Angolo di attrito tra il terreno ed il materiale che costituisce l’opera. |
Calcolo delle spinte.
Come accennato in uno dei paragrafi precedenti, deve in ogni caso essere effettuato il calcolo della spinta attiva e passiva. Si espone quindi in questa sezione il calcolo delle spinte con il metodo di Coulomb.
Calcolo della spinta attiva.
La spinta attiva può essere calcolata con il metodo di Coulomb o alternativamente utilizzando la Teoria di Caquot.
Metodo di Coulomb.
Il metodo di Coulomb è capace di tenere in conto le variabili più significative, soprattutto con riguardo al fenomeno attritivo che si genera all’interfaccia paratia-terreno. Per terreno omogeneo ed asciutto il diagramma delle pressioni si presenta lineare con distribuzione (valutata alla profondità z):
![]()
La spinta totale, che è l’integrale della relazione precedente su tutta l’altezza, è applicata ad 1/3 di H e si calcola con la seguente espressione:
![]()
Avendo indicato con ka il valore del coefficiente di pressione attiva, determinabile con la seguente relazione:

γt = Peso unità di volume del terreno;
β = Inclinazione della parete interna rispetto al piano orizzontale passante per il piede;
ϕ = Angolo di resistenza al taglio del terreno;
δ = Angolo di attrito terreno-paratia positivo se antiorario;
ε = Inclinazione del piano campagna rispetto al piano orizzontale positiva se antioraria;
Metodo di Caquot.
Il metodo di Coulomb risulta essere un metodo sufficientemente accurato per la valutazione dei coefficienti di pressione allo stato limite. Tuttavia soffre dell’ipotesi riguardante la planarità della superficie di scorrimento. Tale ipotesi è rimossa applicando la teoria di Caquot la quale si basa sull’utilizzo di una superficie di scorrimento a forma di spirale logaritmica. Secondo questa teoria il coefficiente di pressione attiva si determina utilizzando la seguente formula:
![]()
Dove i simboli hanno il seguente significato:
KaCoulomb è il coefficiente di pressione attiva calcolato con la teoria di Coulomb;
r è un coefficiente moltiplicativo calcolato con la seguente formula:
![]()
Dove i simboli sono calcolati con le seguenti formule:
![]()


Dove i simboli hanno il seguente significato (vedere anche figura seguente):
β è l’inclinazione del profilo di monte misurata rispetto all’ orizzontale;
φ è l’ angolo di attrito interno del terreno spingente;
δ è l’ angolo di attrito all’interfaccia opera-terreno;

Figura: Convenzione utilizzata per il calcolo del coefficiente di pressione secondo la teoria di Caquot
Carico uniforme sul terrapieno
Un carico Q, uniformemente distribuito sul piano campagna induce delle pressioni costanti pari:
![]()
Integrando la tensione riportata alla formula precedente si ottiene la spinta totale dovuta al sovraccarico:
![]()
Con punto di applicazione ad H/2 (essendo la distribuzione delle tensioni costante). Nelle precedenti formule i simboli hanno il seguente significato:
β = Inclinazione della parete interna rispetto al piano orizzontale passante per il piede
ε = Inclinazione del piano campagna rispetto al piano orizzontale positiva se antioraria
Ka = Coefficiente di pressione attiva calcolato al paragrafo precedente
Striscia di carico su pc inclinato
Il carico agente viene decomposto in un carico ortogonale ed in uno tangenziale al terrapieno, le pressioni indotte sulla parete saranno calcolate come illustrato nei due paragrafi che seguono.
Striscia di carico ortogonale al piano di azione
Un carico ripartito in modo parziale di ascissa iniziale x1 ed ascissa finale x2 genera un diagramma di pressioni sulla parete i cui valori sono stati determinati secondo la formulazione di Terzaghi, che esprime la pressione alla generica profondità z come segue:
![]()
![]()
Con:
Δθ=θ1-θ2;
A=sen(2θ1)-sen(2θ2)
B=cos(2θ1)-cos(2θ2)
θ1=arctg(z/x1)
θ2=arctg(z/x2)
Per integrazione si otterrà la risultante ed il relativo braccio.
Striscia di carico tangenziale al p.c.
![]()
T = Intensità del carico [F/L²]
D = 4×log[senθ1/senθ2]
E = sen²θ1-sen²θ2
Linee di carico sul terrapieno
Le linee di carico generano un incremento di pressioni sulla parete che secondo BOUSSINESQ, alla profondità z, possono essere espresse come segue:
![]()
![]()
Dove i simboli hanno il seguente significato:
V = Intensità del carico espessa in [F/L];
X = Distanza, in proiezione orizzontale, del punto di applicazione del carico dalla parete;
Se il piano di azione è inclinato di ε viene ruotato il sistema di riferimento xz in XZ, attraverso la seguente trasformazione:

Spinta in presenza di falda acquifera
La falda con superficie distante Hw dalla base della struttura, induce delle pressioni idrostatiche normali alla parete che, alla profondità z sono espresse come segue:
![]()
La spinta idrostatica totale si ottiene per integrazione su tutta l’altezza della relazione precedente:
![]()
Avendo indicato con H l’altezza totale di spinta e con γw il peso dell’unità di volume dell’acqua. La spinta del terreno immerso si ottiene sostituendo γt con γ't (γ't = γsaturo - γw), peso specifico del materiale immerso in acqua. In condizioni sismiche la sovraspinta esercitata dall'acqua viene valutata nel seguente modo:
![]()
applicata a 2/3 dell'altezza della falda Hw [Matsuo O'Hara (1960) Geotecnica , R. Lancellotta]
Effetto dovuto alla presenza di coesione
La coesione induce delle pressioni negative costanti pari a:

Non essendo possibile stabilire a priori quale sia il decremento indotto della spinta per effetto della coesione. E' stata calcolate l'altezza critica Zc come segue:

Dove i simboli hanno il seguente significato
Q = Carico agente sul terrapieno eventualmente presente.
γt = Peso unità di volume del terreno
β = Inclinazione della parete interna rispetto al piano orizzontale passante per il piede
ε = Inclinazione del piano campagna rispetto al piano orizzontale positiva se antioraria
C = Coesione del materiale
Ka = Coefficiente di pressione attiva, come calcolato ai passi precedenti
Nel caso in cui si verifichi la circostanza che la Zc, calcolata con la formula precedente, sia minore di zero è possibile sovrapporre direttamente gli effetti dei diagrammi, imponendo un decremento al diagramma di spinta originario valutato come segue:
![]()
Dove si è indicata con il simbolo H l’altezza totale di spinta.
Sisma
Spinta attiva in condizioni sismiche
In presenza di sisma la forza di calcolo esercitata dal terrapieno sulla parete è data da:
![]()
Dove i simboli hanno il seguente significato:
H = altezza di scavo
Kv = coefficiente sismico verticale
γ = peso per unità di volume del terreno
K = coefficienti di spinta attiva totale (statico + dinamico) (vedi Mononobe & Okabe)
Ews = spinta idrostatica dell’acqua
Ewd = spinta idrodinamica.
Per terreni impermeabili la spinta idrodinamica Ewd = 0, ma viene effettuata una correzione sulla valutazione dell’angolo β della formula di Mononobe & Okabe così come di seguito:
![]()
Nei terreni ad elevata permeabilità in condizioni dinamiche continua a valere la correzione di cui sopra, ma la spinta idrodinamica assume la seguente espressione:
![]()
Con H’ altezza del livello di falda (riportata nella sezione relativa al calcolo della spinta idrostatica).
Resistenza passiva
Anche per il calcolo della resistenza passiva si possono utilizzare i due metodi usati nel calcolo della pressione allo stato limite attivo (metodo di Coulomb e metodo di Caquot).
Metodo di Coulomb
Per terreno omogeneo il diagramma delle pressioni in condizioni di stato limite passivo risulta lineare con legge del tipo del tipo:
![]()
Ancora una volta integrando la precedente relazione sull’altezza di spinta ( che per le paratie deve essere valutata attentamente ) si ottiene la spinta passiva totale:
![]()
Avendo indicato al solito con H l’altezza di spinta, gt il peso dell’unità di volume di terreno e con kp il coefficiente di pressione passiva ( in condizioni di stato limite passivo ). Il valore di questo coefficiente è determinato con la seguente formula:

con valori limite pari a:δ< β-ϕ-ε (Muller-Breslau).
Metodo di Caquot
Il metodo di Caquot differisce dal metodo di Coulomb per il calcolo del coefficiente di pressione allo stato limite passivo. Il coefficiente di pressione passiva viene calcolato, con questo metodo, interpolando i valori della seguente tabella:
Coefficient of passive earth pressure Kp for δ = -φ |
||
α [°] |
φ [°] |
Kp when β° |
|
|
0 |
5 |
10 |
15 |
20 |
25 |
30 |
35 |
40 |
45 |
|
10 |
1,17 |
1,41 |
1,53 |
|
|
|
|
|
|
|
|
15 |
1,30 |
1,70 |
1,92 |
2,08 |
|
|
|
|
|
|
|
20 |
1,71 |
2,08 |
2,42 |
2,71 |
2,92 |
|
|
|
|
|
|
25 |
2,14 |
2,81 |
2,98 |
3,88 |
4,22 |
4,43 |
|
|
|
|
-30 |
30 |
2,78 |
3,42 |
4,18 |
5,01 |
5,98 |
8,94 |
7,40 |
|
|
|
|
35 |
3,75 |
4,73 |
5,87 |
7,21 |
8,78 |
10,80 |
12,50 |
13,80 |
|
|
|
40 |
5,31 |
8,87 |
8,77 |
11,00 |
13,70 |
17,20 |
24,80 |
25,40 |
28,40 |
|
|
45 |
8,05 |
10,70 |
14,20 |
18,40 |
23,80 |
90,60 |
38.90 |
49,10 |
60,70 |
69,10 |
|
10 |
1,36 |
1,58 |
1,70 |
|
|
|
|
|
|
|
|
15 |
1,68 |
1,97 |
2,20 |
2,38 |
|
|
|
|
|
|
|
20 |
2,13 |
2,52 |
2,92 |
3,22 |
3,51 |
|
|
|
|
|
|
25 |
2,78 |
3,34 |
3,99 |
4,80 |
5,29 |
5,57 |
|
|
|
|
-20 |
30 |
3,78 |
4,81 |
8,58 |
8,81 |
7,84 |
9,12 |
9,77 |
|
|
|
|
35 |
5,38 |
8,89 |
8,28 |
10,10 |
12,20 |
14,80 |
17,40 |
19,00 |
|
|
|
40 |
8,07 |
10,40 |
12,00 |
18,50 |
20,00 |
25,50 |
38,50 |
37,80 |
42,20 |
|
|
45 |
13,2 |
17,50 |
22,90 |
29,80 |
38,30 |
48,90 |
82,30 |
78,80 |
97,30 |
111,04 |
|
10 |
1,52 |
1,72 |
1,83 |
|
|
|
|
|
|
. |
|
15 |
1,95 |
2,23 |
2,57 |
2,88 |
|
|
|
|
|
|
|
20 |
2,57 |
2,98 |
3,42 |
3,75 |
4,09 |
|
|
|
|
|
|
25 |
3,50 |
4,14 |
4,90 |
5,82 |
8,45 |
8,81 |
|
|
|
|
-10 |
30 |
4,98 |
8,01 |
7,19 |
8,51 |
10,10 |
11,70 |
12,80 |
|
|
|
|
35 |
7,47 |
9,24 |
11,30 |
13,80 |
18,70 |
20,10 |
23,70 |
2ó,00 |
|
|
|
40 |
12,0 |
15,40 |
19,40 |
24,10 |
29,80 |
37,10 |
53,20 |
55,10 |
61,80 |
|
|
45 |
21,2 |
27,90 |
38,50 |
47,20 |
80,80 |
77,30 |
908,20 |
124,00 |
153,00 |
178,00 |
|
10 |
1,84 |
1,81 |
1,93 |
|
|
|
|
|
|
|
|
15 |
2,19 |
2,46 |
2,73 |
2,91 |
|
|
|
|
|
|
|
20 |
3,01 |
3,44 |
3,91 |
4,42 |
4,66 |
|
|
|
|
|
|
25 |
4,28 |
5,02 |
5,81 |
8,72 |
7,71 |
8,16 |
|
|
|
|
0 |
30 |
8,42 |
7,69 |
9,19 |
10,80 |
12,70 |
14,80 |
15,90 |
|
|
|
|
35 |
10,2 |
12,60 |
15,30 |
18,80 |
22,30 |
28,90 |
31,70 |
34,90 |
|
|
|
40 |
17,5 |
22,30 |
28,00 |
34,80 |
42,90 |
53,30 |
78,40 |
79,10 |
88,70 |
|
|
45 |
33,5 |
44,10 |
57,40 |
74,10 |
94,70 |
120,00 |
153,00 |
174,00 |
240,00 |
275,00 |
|
10 |
1,73 |
1,87 |
1,98 |
|
|
|
|
|
|
|
|
15 |
2,40 |
2,65 |
2,93 |
3,12 |
|
|
|
|
|
|
|
20 |
3,45 |
3,90 |
4,40 |
4,96 |
5,23 |
|
|
|
|
|
10 |
25 |
5,17 |
5,99 |
6,90 |
7,95 |
9,11 |
9,67 |
|
|
|
|
|
30 |
8,17 |
9,69 |
11,40 |
13,50 |
15,90 |
18,50 |
19,90 |
|
|
|
|
35 |
13,8 |
16,90 |
20,50 |
24,80 |
29,80 |
35,80 |
42,30 |
46,60 |
|
|
|
40 |
25,5 |
32,20 |
40,40 |
49,90 |
61,70 |
76,40 |
110,00 |
113,00 |
127,00 |
|
|
45 |
52,9 |
69,40 |
90,90 |
116,00 |
148,00 |
i88,00 |
239,00 |
303,00 |
375,00 |
431,00 |
|
10 |
1,78 |
1,89 I |
2,01 |
|
|
|
|
|
|
|
|
15 |
2,58 |
2,821 |
3,11 |
3,30 |
|
|
|
|
|
|
|
20 |
3,90 |
4,38 |
4,92 |
5,53 |
5,83 |
|
|
|
|
|
20 |
25 |
6,18 |
7,12 |
8,17 |
9,39 |
10,70 |
11,40 |
|
|
|
|
|
30 |
10,4 |
12,30 |
14,40 |
16,90 |
20,00 |
23,20 |
25,00 |
|
|
|
|
35 |
18,7 |
22,80 |
27,60 |
33,30 |
40,00 |
48,00 |
56,80 |
62,50 |
|
|
|
40 |
37,2 |
46,90 |
58,60 |
72,50 |
89,30 |
111,00 |
158,00 |
164,00 |
185,00 |
|
|
45 |
84,0 |
110,00 |
143,00 |
184,00 |
234,00 |
297,00 |
378,00 |
478,00 |
592,00 |
680,00 |
Tabella: Valutazione del coefficiente di pressione passiva con la teoria di Caquot
Carico uniforme sul terrapieno
La resistenza indotta da un carico uniformemente distribuito Sq vale:
![]()
Con punto di applicazione pari a H/2 ( essendo il diagramma delle tensioni orizzontali costante per tutta l’altezza ). Nella precedente formula kp è il coefficiente di spinta passiva valutato al paragrafo precedente.
Coesione
La coesione determina un incremento di resistenza pari a:
![]()
Tale incremento va a sommarsi direttamente al diagramma principale di spinta.
Metodo dell’equilibrio limite ( LEM )
Il metodo dell’equilibrio limite consiste nel ricercare soluzioni, al problema di verifica o di progetto, che siano compatibili con il solo aspetto statico del problema. In sostanza si ragiona in termini di equilibrio di un corpo rigido, senza preoccuparsi della congruenza cinematica degli spostamenti. I principali schemi di calcolo cui si farà riferimento sono i seguenti:
| 1. | Paratia a sbalzo; |
| 2. | Paratia tirantata ad estremo libero; |
| 3. | Paratia tirantata ad estremo fisso; |
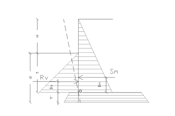
Paratia a sbalzo: calcolo della profondità d’infissione limite
Per paratia non tirantata, la stabilità è assicurata dalla resistenza passiva del terreno che si trova a valle della stessa; dall'equilibrio dei momenti rispetto al centro di rotazione si ottiene:
![]()
Dove i simboli hanno il seguente significato:
Sm = componente orizzontale della spinta attiva;
Bm = braccio di Sm rispetto ad O centro di rotazione;
Rv = componente orizzontale della resistenza passiva;
Bv = braccio di Rv rispetto ad O centro di rotazione;
ogni termine risulta funzione di t dove t è la profondità del centro di rotazione rispetto al piano di riferimento di valle (piano campagna a valle). La lunghezza necessaria per assicurare l'equilibrio alla traslazione orizzontale si ottiene aumentando t come segue:
![]()

Figura 2: Schema di riferimento per il calcolo dell'equilibrio della paratia
Coefficiente di sicurezza sulla resistenza passiva
La lunghezza d’infissione d come sopra determinata è relativa alla condizione limite di incipiente collasso, tramite un coefficiente F. E’ possibile introdurre un margine di sicurezza sulle resistenze passive; la riduzione si effetua come segue:
![]()
Paratia tirantata ad estremo libero: calcolo della profondità d’infissione limite
La stabilità dell'opera è assicurata anche dai tiranti ancorati sulla paratia. Per utilizzare lo schema di calcolo ad estremo libero, la paratia deve essere sufficientemente corta e rigida. La lunghezza di infissione, sarà determinata imponendo l'equilibrio alla rotazione sull'origine del tirante indicato B1
![]()
Dove i simboli hanno il seguente significato:
Sm = componente orizzontale spinta attiva;
H = altezza terreno da sostenere;
t = profondità di infissione calcolata;
Bm = braccio di Sm rispetto alla base della paratia;
Pm = ordinata del punto di applicazione del tirante a monte;
Rv = componente orizzontale della resistenza passiva;
Bv = braccio di Rv.
Noto t, si determinano Sm ed Rv ed il relativo sforzo del tirante.
Coefficiente di sicurezza F sulle resistenze passive
La lunghezza d’infissione sarà ulteriormente aumentata per avere margine di sicurezza in condizioni di esercizio tramite il coefficiente di sicurezza F:
![]()
Paratia tirantata ad estremo fisso: calcolo della profondità d’infissione limite
Se la sezione più profonda della paratia non trasla e non ruota può essere assimilata ad un incastro, in tal caso la paratia si definisce ad estremo fisso. Un procedimento elaborato da BLUM consente di ricavare la profondità d’infissione (t+t'), imponendo le condizioni cinematiche di spostamenti nulli alla base dell'opera ed all'origine del tirante (B1), e le condizioni statiche di momento e taglio nullo alla base della paratia. Si perviene ad una equazione di 5° grado in (t+t') che può essere risolta in modo agevole.
Coefficiente di sicurezza F sulle resistenze
Per aumentare il fattore di sicurezza sono stati introdotti negli sviluppi numerici, valori delle resistenze passive ridotte.
Metodo degli elementi finiti (FEM)
Il metodo degli elementi finiti è il metodo che più di tutti si fonda su basi teoriche solide e razionali. Di fatti tutto il metodo presuppone che il problema sia affrontato tenendo in conto sia l’aspetto statico (e quindi l’equilibrio del problema, sia l’aspetto cinematica (e quindi la congruenza degli spostamenti o meglio delle deformazioni). In questo approccio la paratia è modellata come un insieme di travi, con vincolo di continuità tra loro (elementi beam) vincolati al terreno mediante molle elastiche, la cui rigidezza è valutata in funzione delle proprietà elastiche del terreno. Nella figura che segue è mostrato schematicamente il modello utilizzato per l’analisi ad elementi finiti:

Figura 3: Schematizzazione della paratia ad elementi finiti
Vari aspetti hanno importanza centrale in questo metodo di calcolo. Si riportano nel seguito gli aspetti essenziali.
Calcolo del modulo di rigidezza Ks del terreno
Come già detto in precedenza, il terreno viene schematizzato con delle molle di rigidezza Ks applicate sui nodi dei conci compresi tra il nodo di fondo scavo e l'estremità di infissione. La stima della rigidezza Ks è stata effettuata sulla base della capacità portante delle fondazioni secondo la seguente formula:
![]()
Dove i simboli hanno il seguente significato:
As = costante, calcolata come segue As=C×(c×Nc+0.5×G×B×Ng)
Bs = coefficiente funzione della profondità Bs=C×G×Nq
Z = Profondità in esame
C = 40 nel sistema internazionale SI
n = π×tanφ
Nq = exp[n×(tan²(45° + φ/2)]
Nc = (Nq-1)×cotφ
Ng = 1.5×(Nq-1)×tanφ
Tiranti
I tiranti vengono schematizzati come elementi elastici, con sezione trasversale di area pari ad A modulo di elasticità E e lunghezza L. Per un tratto di paratia di larghezza unitaria, l'azione dei tiranti inclinati di un angolo β vale:
![]()
Sifonamento
Il sifonamento è un fenomeno che in una fase iniziale si localizza al piede della paratia, e poi rapidamente si estende nell'intorno del volume resistente. Si verifica quando, per una elevata pressione idrodinamica o di infiltrazione, si annullano le pressioni passive efficaci, con la conseguente perdita di resistenza del terreno. Si assume di norma un fattore di sicurezza Fsif=3.5-4 Indicando con:
ic = Gradiente Idraulico critico;
ie = Gradiente Idraulico in condizioni di esercizio;
Il margine di sicurezza è definito come rapporto tra ic ed ie, se ie<ic la paratie è stabile.
Verifica delle sezioni e calcolo armature
Il calcolo delle armature e le verifiche a presso-flessione e taglio della paratia soggetta alle sollecitazioni N,M e T, si effettuano sulla sezione maggiormente sollecitata. Le sollecitazioni di calcolo sono ottenute come prodotto tra le sollecitazioni ottenute con un calcolo a metro lineare e l’interasse tra i pali (o larghezza dei setti se la paratia è costituita da setto):
![]()
Dove M', M', T' rappresentano il momento il taglio e lo sforzo normale relativi ad una striscia unitaria di calcolo mentre i è l’interasse tra i pali per paratia costituita da pali o micropali (o larghezza setti per paratia costituita da setti).
Descrizione:
Messa in sicurezza discarica xxxxxx- Paratia
Località:
---
Archivio materiali
CONGLOMERATI
Nr. |
Classe calcestruzzo |
fck,cubi [MPa] |
Ec [MPa] |
fck [MPa] |
fcd [MPa] |
fctd [MPa] |
fctm [MPa] |
1 |
C20/25 |
25 |
29380.7 |
19.6 |
11.1 |
1 |
2.2 |
2 |
C25/30 |
30 |
30861.5 |
24.5 |
13.9 |
1.2 |
2.5 |
3 |
C28/35 |
35 |
31675.5 |
27.5 |
15.6 |
1.3 |
2.7 |
4 |
C40/50 |
50 |
34539 |
39.2 |
19.4 |
1.5 |
3.1 |
Acciai:
Nr. |
Classe acciaio |
Es [MPa] |
fyk [MPa] |
fyd [MPa] |
ftk [MPa] |
ftd [MPa] |
ep_tk |
epd_ult |
ß1*ß2 iniz. |
ß1*ß2 finale |
1 |
B450C |
196133 |
441.3 |
383.7 |
529.6 |
441.3 |
.075 |
.0675 |
1 |
0.5 |
2 |
FeB44k |
196133 |
421.7 |
366.7 |
529.6 |
366.7 |
.05 |
.04 |
1 |
0.5 |
GEOMETRIA SEZIONE
Sezione Circolare Barre
Calcestruzzo C20/25
Acciaio FeB44k
Nome Circolare da 0.8
Diametro 0.8 m
Disposizione Singola fila
Interasse Longitudinale 1 m
Archivio cordoli ancoraggio tiranti
Nr. |
Descrizione |
Materiale |
Base [cm] |
Altezza [cm] |
Altezza [cm²] |
Wx [cm³] |
Wy [cm³] |
1 |
HE100A |
ACCIAIO |
10.00 |
9.60 |
21.24 |
72.76 |
26.76 |
2 |
trefolo |
2 |
-- |
-- |
4.17 |
-- |
- - |
Archivio tiranti
Nr. |
Descrizione |
Area armatura [cm²] |
Diametro foro [m] |
Diametro bulbo [m] |
Lughezza libera [m] |
Lunghezza bulbo [m] |
Materiale Acciaio |
Materiale Calcestruzzo |
1 |
Tirante 1 |
12 |
0.25 |
0.5 |
8 |
8 |
B450C |
C20/2 5 |
Dati generali FEM
Massimo spostamento lineare terreno 1.5 cm
Fattore tollezanza spostamento 0.005 cm
Tipo analisi Lineare
Massimo numero di iterazioni 20
Fattore riduzione molla fondo scavo 1
Profondità infissione iniziale 2.8 m
Incremento profondità infissione 0.2 m
Numero di elementi 36
Numero nodo di fondo scavo 16
Stratigrafia
Fase: 1
Nr. |
Peso specifico [kN/m³] |
Peso specifico saturo [kN/m³] |
Coesione [kN/m²] |
Ancolo attrito [°] |
O.C.R. |
Modulo edometrico [kN/m²] |
Attrito terra muro monte [°] |
Attrito terra muro valle [°] |
Spessore [m] |
Inclinazione [°] |
Descrizione |
1 |
10.0 |
0.0 |
0.0 |
22.0 |
0.0 |
0.0 |
0.0 |
0.0 |
0.5 |
0.0 |
RSU |
2 |
19.5 |
0.0 |
38.0 |
18.0 |
0.0 |
0.0 |
0.0 |
0.0 |
12.001 |
15.0 |
Frana |
3 |
20.3 |
0.0 |
53.0 |
19.0 |
0.0 |
0.0 |
0.0 |
0.0 |
14.911 |
0.0 |
flysch |
Calcolo coefficienti sismici
Dati generali
Descrizione zona
Latitudine 43.9966 [°]
Longitudine 11.3492 [°]
Dati opera
Tipo opera Opere ordinarie
Classe d'uso II
Vita nominale 50 [anni]
Vita di riferimento 50 [anni]
Parametri sismici su un sito di riferimento
Categoria sottosuolo C
Categoria topografica T1
SL |
Tr [Anni] |
ag [m/sec²] |
F0 [-] |
TS* [sec] |
SLO |
30 |
0.640 |
2.450 |
0.260 |
SLD |
50 |
0.810 |
2.420 |
0.260 |
SLV |
475 |
2.020 |
2.370 |
0.290 |
SLC |
975 |
2.570 |
2.400 |
0.290 |
Coefficienti sismici orizzontale e verticale
Opera: Stabilità dei pendii
SL |
Amax [m/sec²] |
beta [-] |
kh [-] |
kv [-] |
SLO |
0.960 |
0.200 |
0.020 |
0.010 |
SLD |
1.215 |
0.200 |
0.025 |
0.012 |
SLV |
2.842 |
0.280 |
0.081 |
0.041 |
SLC |
3.399 |
0.280 |
0.097 |
0.049 |
Tiranti
Fase: 1
Descrizione |
x [m] |
z [m] |
Inclinazione [°] |
Interasse [m] |
Angolo attrito [°] |
Adesione [kN/m²] |
Tipologia |
Cordolo |
Attivo Passivo |
Tiro iniziale [kN] |
tirante a 3 trefoli |
0 |
-0.36 |
35 |
2 |
18 |
12 |
Tirante 1 |
1 |
Attivo |
0 |
Analisi Paratia
Profondità massima di infissione 3 [m]
Fase: 1 Analisi geotecni caFase: 1 - Combinazione: 1
Altezza scavo 4 [m]
Tipo: S.L.U. [STR]
Nome: A1+M1+R1
Coefficienti sismici: Kh = 0 , Kv = 0
Coefficienti parziali azioni
Nr. |
Azioni |
Fattori combinazione |
1 |
Peso proprio |
1 |
2 |
Spinta terreno |
1 |
3 |
Spinta falda |
1.5 |
4 |
Spinta sismica x |
0 |
5 |
Spinta sismica y |
0 |
6 |
tirante a 3 trefoli |
1 |
Coefficienti parziali terreno
Nr. |
Parametro |
Coefficienti parziali |
1 |
Tangente angolo resistenza taglio |
1.25 |
2 |
Coesione efficace |
1.25 |
3 |
Resistenza non drenata |
1.4 |
4 |
Peso unità volume |
1 |
5 |
Angolo di attrito terra parete |
1 |
Coefficienti resistenze capacità portante verticale
Nr. |
Capacità portante |
Coefficienti resistenze |
1 |
Punta |
1.7 |
2 |
Laterale compressione |
1.45 |
3 |
Totale |
1.6 |
4 |
Laterale trazione |
1.6 |
5 |
Orizzontale |
1.6 |
Profondità di infissione 3.00 [m]
Pressione massima terreno 27.17 [kPa]
Momento massimo 42.63 [kNm/m]
Taglio massimo 26.32 [KN/m]
Carico limite tiranti
Descrizione |
Profondità Media bulbo [m] |
Coefficienti spinta |
Pressione media bulbo [kPa] |
Carico limite terreno [kN] |
Resistenza aderenza [kN] |
Carico limite [kN] |
Meccanismo rottura |
tirante a 3 trefoli |
7.24 |
1.30 |
136.49 |
2380.48 |
1369.14 |
460.44 |
Acciaio |
tirante a 3 trefoli
Reazione tirante 51.66 [KN]
Fattore sicurezza 8.91
Sollecitazioni
Z [m] |
Pressioni totali terreno [kPa] |
Sforzo normale [kN/m] |
Momento [kNm/m] |
Taglio [kN/m] |
Spostamento [cm] |
Modulo reazione [kN/m³] |
0.27 |
1.41 |
37.06 |
-0.02 |
25.35 |
0.2144 |
-- |
0.53 |
2.87 |
40.35 |
6.75 |
24.60 |
0.2098 |
-- |
0.80 |
4.74 |
43.64 |
13.31 |
23.39 |
0.2051 |
-- |
1.07 |
6.61 |
46.92 |
19.55 |
21.64 |
0.2002 |
-- |
1.33 |
8.48 |
50.21 |
25.33 |
19.30 |
0.1952 |
-- |
1.60 |
10.35 |
53.49 |
30.48 |
16.60 |
0.1898 |
-- |
1.87 |
12.22 |
56.78 |
34.91 |
13.35 |
0.1840 |
-- |
2.13 |
14.09 |
60.07 |
38.47 |
9.61 |
0.1779 |
-- |
2.40 |
15.96 |
63.35 |
41.04 |
5.30 |
0.1712 |
-- |
2.67 |
17.82 |
66.64 |
42.46 |
0.59 |
0.1641 |
-- |
2.93 |
19.69 |
69.93 |
42.63 |
-4.63 |
0.1565 |
-- |
3.20 |
21.56 |
73.21 |
41.38 |
-10.26 |
0.1484 |
-- |
3.47 |
23.43 |
76.50 |
38.63 |
-16.51 |
0.1397 |
-- |
3.73 |
25.30 |
79.78 |
34.22 |
-22.86 |
0.1306 |
-- |
4.00 |
27.17 |
83.07 |
28.13 |
-26.32 |
0.1211 |
15783.94 |
4.14 |
-- |
84.83 |
24.35 |
-23.77 |
0.1159 |
15783.94 |
4.29 |
-17.45 |
86.59 |
20.95 |
-21.68 |
0.1106 |
15783.94 |
4.43 |
-16.60 |
88.35 |
17.85 |
-19.27 |
0.1052 |
15783.94 |
4.57 |
-15.74 |
90.11 |
15.08 |
-17.24 |
0.0997 |
15783.94 |
4.71 |
-14.87 |
91.87 |
12.61 |
-15.38 |
0.0942 |
15783.94 |
4.86 |
-14.00 |
93.63 |
10.40 |
-13.22 |
0.0887 |
15783.94 |
5.00 |
-13.11 |
95.39 |
8.50 |
-11.51 |
0.0831 |
15783.94 |
5.14 |
-12.23 |
97.15 |
6.87 |
-10.05 |
0.0775 |
15783.94 |
5.29 |
-11.34 |
98.92 |
5.43 |
-8.40 |
0.0718 |
15783.94 |
5.43 |
-10.45 |
100.68 |
4.23 |
-7.17 |
0.0662 |
15783.94 |
5.57 |
-9.55 |
102.44 |
3.21 |
-5.90 |
0.0605 |
15783.94 |
5.71 |
-8.65 |
104.20 |
2.37 |
-4.73 |
0.0548 |
15783.94 |
5.86 |
-7.75 |
105.96 |
1.69 |
-3.64 |
0.0491 |
15783.94 |
6.00 |
-6.86 |
107.72 |
1.16 |
-2.81 |
0.0434 |
15783.94 |
6.14 |
-5.96 |
109.48 |
0.76 |
-2.09 |
0.0377 |
15783.94 |
6.29 |
-5.05 |
111.24 |
0.46 |
-1.50 |
0.0320 |
15783.94 |
6.43 |
-4.15 |
113.00 |
0.24 |
-0.93 |
0.0263 |
15783.94 |
6.57 |
-3.25 |
114.76 |
0.11 |
-0.55 |
0.0206 |
15783.94 |
6.71 |
-2.35 |
116.52 |
0.04 |
-0.20 |
0.0149 |
15783.94 |
6.86 |
-1.45 |
118.28 |
0.01 |
-0.03 |
0.0092 |
15783.94 |
Fase: 1 - Combinazione: 2
Altezza scavo 4 [m]
Tipo: S.L.U.
Nome: A2+M2+R2
Coefficienti sismici: Kh = 0 , Kv = 0
Coefficienti parziali azioni
Nr. |
Azioni |
Fattori combinazione |
1 |
Peso proprio |
1 |
2 |
Spinta terreno |
1 |
3 |
Spinta falda |
1.3 |
4 |
Spinta sismica x |
0 |
5 |
Spinta sismica y |
0 |
6 |
tirante a 3 trefoli |
1 |
Coefficienti parziali terreno
Nr. |
Parametro |
Coefficienti parziali |
1 |
Tangente angolo resistenza taglio |
1.25 |
2 |
Coesione efficace |
1.25 |
3 |
Resistenza non drenata |
1.4 |
4 |
Peso unità volume |
1 |
5 |
Angolo di attrito terra parete |
1 |
Coefficienti resistenze capacità portante verticale
Nr. |
Capacità portante |
Coefficienti resistenze |
1 |
Punta |
1.7 |
2 |
Laterale compressione |
1.45 |
3 |
Totale |
1.6 |
4 |
Laterale trazione |
1.6 |
5 |
Orizzontale |
1.6 |
Profondità di infissione 3.00 [m]
Pressione massima terreno 27.17 [kPa]
Momento massimo 42.63 [kNm/m]
Taglio massimo 26.32 [KN/m]
Carico limite tiranti
Descrizione |
Profondità Media bulbo [m] |
Coefficienti spinta |
Pressione media bulbo [kPa] |
Carico limite terreno [kN] |
Resistenza aderenza [kN] |
Carico limite [kN] |
Meccanismo rottura |
tirante a 3 trefoli |
7.24 |
1.30 |
136.49 |
2380.48 |
1369.14 |
460.44 |
Acciaio |
tirante a 3 trefoli
Reazione tirante 51.66 [KN]
Fattore sicurezza 8.91
Sollecitazioni
Z [m] |
Pressioni totali terreno [kPa] |
Sforzo normale [kN/m] |
Momento [kNm/m] |
Taglio [kN/m] |
Spostamento [cm] |
Modulo reazione [kN/m³] |
0.27 |
1.41 |
37.06 |
-0.02 |
25.35 |
0.2144 |
-- |
0.53 |
2.87 |
40.35 |
6.75 |
24.60 |
0.2098 |
-- |
0.80 |
4.74 |
43.64 |
13.31 |
23.39 |
0.2051 |
-- |
1.07 |
6.61 |
46.92 |
19.55 |
21.64 |
0.2002 |
-- |
1.33 |
8.48 |
50.21 |
25.33 |
19.30 |
0.1952 |
-- |
1.60 |
10.35 |
53.49 |
30.48 |
16.60 |
0.1898 |
-- |
1.87 |
12.22 |
56.78 |
34.91 |
13.35 |
0.1840 |
-- |
2.13 |
14.09 |
60.07 |
38.47 |
9.61 |
0.1779 |
-- |
2.40 |
15.96 |
63.35 |
41.04 |
5.30 |
0.1712 |
-- |
2.67 |
17.82 |
66.64 |
42.46 |
0.59 |
0.1641 |
-- |
2.93 |
19.69 |
69.93 |
42.63 |
-4.63 |
0.1565 |
-- |
3.20 |
21.56 |
73.21 |
41.38 |
-10.26 |
0.1484 |
-- |
3.47 |
23.43 |
76.50 |
38.63 |
-16.51 |
0.1397 |
-- |
3.73 |
25.30 |
79.78 |
34.22 |
-22.86 |
0.1306 |
-- |
4.00 |
27.17 |
83.07 |
28.13 |
-26.32 |
0.1211 |
15783.94 |
4.14 |
-- |
84.83 |
24.35 |
-23.77 |
0.1159 |
15783.94 |
4.29 |
-17.45 |
86.59 |
20.95 |
-21.68 |
0.1106 |
15783.94 |
4.43 |
-16.60 |
88.35 |
17.85 |
-19.27 |
0.1052 |
15783.94 |
4.57 |
-15.74 |
90.11 |
15.08 |
-17.24 |
0.0997 |
15783.94 |
4.71 |
-14.87 |
91.87 |
12.61 |
-15.38 |
0.0942 |
15783.94 |
4.86 |
-14.00 |
93.63 |
10.40 |
-13.22 |
0.0887 |
15783.94 |
5.00 |
-13.11 |
95.39 |
8.50 |
-11.51 |
0.0831 |
15783.94 |
5.14 |
-12.23 |
97.15 |
6.87 |
-10.05 |
0.0775 |
15783.94 |
5.29 |
-11.34 |
98.92 |
5.43 |
-8.40 |
0.0718 |
15783.94 |
5.43 |
-10.45 |
100.68 |
4.23 |
-7.17 |
0.0662 |
15783.94 |
5.57 |
-9.55 |
102.44 |
3.21 |
-5.90 |
0.0605 |
15783.94 |
5.71 |
-8.65 |
104.20 |
2.37 |
-4.73 |
0.0548 |
15783.94 |
5.86 |
-7.75 |
105.96 |
1.69 |
-3.64 |
0.0491 |
15783.94 |
6.00 |
-6.86 |
107.72 |
1.16 |
-2.81 |
0.0434 |
15783.94 |
6.14 |
-5.96 |
109.48 |
0.76 |
-2.09 |
0.0377 |
15783.94 |
6.29 |
-5.05 |
111.24 |
0.46 |
-1.50 |
0.0320 |
15783.94 |
6.43 |
-4.15 |
113.00 |
0.24 |
-0.93 |
0.0263 |
15783.94 |
6.57 |
-3.25 |
114.76 |
0.11 |
-0.55 |
0.0206 |
15783.94 |
6.71 |
-2.35 |
116.52 |
0.04 |
-0.20 |
0.0149 |
15783.94 |
6.86 |
-1.45 |
118.28 |
0.01 |
-0.03 |
0.0092 |
15783.94 |
Fase: 1 - Combinazione: 3
Altezza scavo 4 [m]
Tipo: S.L.U. [GEO-STR]
Nome: Sismica
Coefficienti sismici: Kh = 0.0196 , Kv = 0.0098
Coefficienti parziali azioni
Nr. |
Azioni |
Fattori combinazione |
1 |
Peso proprio |
1 |
2 |
Spinta terreno |
1 |
3 |
Spinta falda |
1 |
4 |
Spinta sismica x |
1 |
5 |
Spinta sismica y |
1 |
6 |
tirante a 3 trefoli |
1 |
Coefficienti parziali terreno
Nr. |
Parametro |
Coefficienti parziali |
1 |
Tangente angolo resistenza taglio |
1.25 |
2 |
Coesione efficace |
1.25 |
3 |
Resistenza non drenata |
1.4 |
4 |
Peso unità volume |
1 |
5 |
Angolo di attrito terra parete |
1 |
Coefficienti resistenze capacità portante verticale
Nr. |
Capacità portante |
Coefficienti resistenze |
1 |
Punta |
1.7 |
2 |
Laterale compressione |
1.45 |
3 |
Totale |
1.6 |
4 |
Laterale trazione |
1.6 |
5 |
Orizzontale |
1.6 |
Profondità di infissione 3.00 [m]
Pressione massima terreno 30.09 [kPa]
Momento massimo 47.04 [kNm/m]
Taglio massimo 29.16 [KN/m]
Carico limite tiranti
Descrizione |
Profondità Media bulbo [m] |
Coefficienti spinta |
Pressione media bulbo [kPa] |
Carico limite terreno [kN] |
Resistenza aderenza [kN] |
Carico limite [kN] |
Meccanismo rottura |
tirante a 3 trefoli |
7.24 |
1.30 |
136.49 |
2380.48 |
1369.14 |
460.44 |
Acciaio |
tirante a 3 trefoli
Reazione tirante 56.65 [KN]
Fattore sicurezza 8.13
Sollecitazioni
Z [m] |
Pressioni totali terreno [kPa] |
Sforzo normale [kN/m] |
Momento [kNm/m] |
Taglio [kN/m] |
Spostamento [cm] |
Modulo reazione [kN/m³] |
0.27 |
1.45 |
38.81 |
-0.02 |
27.85 |
0.2351 |
-- |
0.53 |
2.98 |
42.10 |
7.41 |
27.03 |
0.2301 |
-- |
0.80 |
5.07 |
45.38 |
14.62 |
25.77 |
0.2250 |
-- |
1.07 |
7.15 |
48.67 |
21.50 |
23.84 |
0.2197 |
-- |
1.33 |
9.24 |
51.96 |
27.86 |
21.35 |
0.2142 |
-- |
1.60 |
11.32 |
55.24 |
33.56 |
18.33 |
0.2083 |
-- |
1.87 |
13.41 |
58.53 |
38.46 |
14.74 |
0.2020 |
-- |
2.13 |
15.49 |
61.82 |
42.40 |
10.65 |
0.1953 |
-- |
2.40 |
17.58 |
65.10 |
45.25 |
5.96 |
0.1881 |
-- |
2.67 |
19.66 |
68.39 |
46.84 |
0.76 |
0.1803 |
-- |
2.93 |
21.75 |
71.67 |
47.04 |
-5.01 |
0.1720 |
-- |
3.20 |
23.83 |
74.96 |
45.71 |
-11.36 |
0.1631 |
-- |
3.47 |
25.92 |
78.25 |
42.68 |
-18.19 |
0.1536 |
-- |
3.73 |
28.00 |
81.53 |
37.83 |
-25.22 |
0.1437 |
-- |
4.00 |
30.09 |
84.82 |
31.11 |
-29.16 |
0.1332 |
15783.94 |
4.14 |
-- |
86.58 |
26.97 |
-26.43 |
0.1275 |
15783.94 |
4.29 |
-19.20 |
88.34 |
23.18 |
-23.85 |
0.1217 |
15783.94 |
4.43 |
-18.27 |
90.10 |
19.78 |
-21.43 |
0.1158 |
15783.94 |
4.57 |
-17.33 |
91.86 |
16.72 |
-19.10 |
0.1098 |
15783.94 |
4.71 |
-16.38 |
93.62 |
14.00 |
-16.90 |
0.1037 |
15783.94 |
4.86 |
-15.42 |
95.38 |
11.55 |
-14.74 |
0.0977 |
15783.94 |
5.00 |
-14.45 |
97.14 |
9.44 |
-12.77 |
0.0915 |
15783.94 |
5.14 |
-13.48 |
98.90 |
7.62 |
-10.96 |
0.0854 |
15783.94 |
5.29 |
-12.50 |
100.66 |
6.05 |
-9.27 |
0.0792 |
15783.94 |
5.43 |
-11.52 |
102.42 |
4.71 |
-7.90 |
0.0730 |
15783.94 |
5.57 |
-10.54 |
104.18 |
3.58 |
-6.60 |
0.0668 |
15783.94 |
5.71 |
-9.55 |
105.95 |
2.65 |
-5.22 |
0.0605 |
15783.94 |
5.86 |
-8.57 |
107.71 |
1.89 |
-4.04 |
0.0543 |
15783.94 |
6.00 |
-7.58 |
109.47 |
1.31 |
-3.16 |
0.0480 |
15783.94 |
6.14 |
-6.60 |
111.23 |
0.86 |
-2.38 |
0.0418 |
15783.94 |
6.29 |
-5.61 |
112.99 |
0.52 |
-1.68 |
0.0355 |
15783.94 |
6.43 |
-4.62 |
114.75 |
0.27 |
-1.04 |
0.0293 |
15783.94 |
6.57 |
-3.63 |
116.51 |
0.13 |
-0.59 |
0.0230 |
15783.94 |
6.71 |
-2.64 |
118.27 |
0.04 |
-0.24 |
0.0167 |
15783.94 |
6.86 |
-1.66 |
120.03 |
0.01 |
-0.03 |
0.0105 |
15783.94 |
Carico limite verticale
Fase 1 Combinazione 1
Fattore Nc 9.136
Fattore Nq 3.968
Carico limite punta 151.316 kN
Carico limite laterale 399.584 kN
Carico limite totale 550.900 kN
Forza verticale agente 118.281 kN
Fattore sicurezza 4.658 kN
Fase 1 Combinazione 2
Fattore Nc 9.136
Fattore Nq 3.968
Carico limite punta 151.316 kN
Carico limite laterale 399.584 kN
Carico limite totale 550.900 kN
Forza verticale agente 118.281 kN
Fattore sicurezza 4.658 kN
Fase 1 Combinazione 3
Fattore Nc 9.136
Fattore Nq 3.968
Carico limite punta 151.316 kN
Carico limite laterale 399.584 kN
Carico limite totale 550.900 kN
Forza verticale agente 120.029 kN
Fattore sicurezza 4.590 kN
Risultati analisi strutturale
Fase: 1 Risultati analisi strutturale
Fase: 1 - Combinazione: 1
Z [m] |
Nome sezione |
N [kN] |
M [kNm] |
T [kN] |
Nr.Barre Diametro |
Nu [kN] |
Mu [kNm] |
Cond. Verfica Flessione |
Ver. Fless. |
0.27 |
Circolare da 0.8 |
37.06 |
-0.02 |
25.35 |
8Ø16 |
37.07 |
-210.16 |
12572.66 |
Verificata |
0.53 |
Circolare da 0.8 |
40.35 |
6.75 |
24.60 |
8Ø16 |
40.36 |
211.10 |
31.28 |
Verificata |
0.80 |
Circolare da 0.8 |
43.64 |
13.31 |
23.39 |
8Ø16 |
43.64 |
212.04 |
15.93 |
Verificata |
1.07 |
Circolare da 0.8 |
46.92 |
19.55 |
21.64 |
8Ø16 |
46.92 |
212.98 |
10.90 |
Verificata |
1.33 |
Circolare da 0.8 |
50.21 |
25.33 |
19.30 |
8Ø16 |
50.21 |
213.91 |
8.45 |
Verificata |
1.60 |
Circolare da 0.8 |
53.49 |
30.48 |
16.60 |
8Ø16 |
53.49 |
214.85 |
7.05 |
Verificata |
1.87 |
Circolare da 0.8 |
56.78 |
34.91 |
13.35 |
8Ø16 |
56.79 |
215.79 |
6.18 |
Verificata |
2.13 |
Circolare da 0.8 |
60.07 |
38.47 |
9.61 |
8Ø16 |
60.07 |
216.73 |
5.63 |
Verificata |
2.40 |
Circolare da 0.8 |
63.35 |
41.04 |
5.30 |
8Ø16 |
63.35 |
217.67 |
5.30 |
Verificata |
2.67 |
Circolare da 0.8 |
66.64 |
42.46 |
0.59 |
8Ø16 |
66.64 |
218.61 |
5.15 |
Verificata |
2.93 |
Circolare da 0.8 |
69.93 |
42.63 |
-4.63 |
8Ø16 |
69.93 |
219.54 |
5.15 |
Verificata |
3.20 |
Circolare da 0.8 |
73.21 |
41.38 |
-10.26 |
8Ø16 |
73.21 |
220.48 |
5.33 |
Verificata |
3.47 |
Circolare da 0.8 |
76.50 |
38.63 |
-16.51 |
8Ø16 |
76.51 |
221.41 |
5.73 |
Verificata |
3.73 |
Circolare da 0.8 |
79.78 |
34.22 |
-22.86 |
8Ø16 |
79.79 |
222.34 |
6.50 |
Verificata |
4.00 |
Circolare da 0.8 |
83.07 |
28.13 |
-26.32 |
8Ø16 |
83.07 |
223.28 |
7.94 |
Verificata |
4.14 |
Circolare da 0.8 |
84.83 |
24.35 |
-23.77 |
8Ø16 |
84.84 |
223.78 |
9.19 |
Verificata |
4.29 |
Circolare da 0.8 |
86.59 |
20.95 |
-21.68 |
8Ø16 |
86.59 |
224.28 |
10.70 |
Verificata |
4.43 |
Circolare da 0.8 |
88.35 |
17.85 |
-19.27 |
8Ø16 |
88.36 |
224.78 |
12.60 |
Verificata |
4.57 |
Circolare da 0.8 |
90.11 |
15.08 |
-17.24 |
8Ø16 |
90.11 |
225.28 |
14.94 |
Verificata |
4.71 |
Circolare da 0.8 |
91.87 |
12.61 |
-15.38 |
8Ø16 |
91.87 |
225.78 |
17.90 |
Verificata |
4.86 |
Circolare da 0.8 |
93.63 |
10.40 |
-13.22 |
8Ø16 |
93.62 |
226.27 |
21.76 |
Verificata |
5.00 |
Circolare da 0.8 |
95.39 |
8.50 |
-11.51 |
8Ø16 |
95.39 |
226.77 |
26.67 |
Verificata |
5.14 |
Circolare da 0.8 |
97.15 |
6.87 |
-10.05 |
8Ø16 |
97.16 |
227.27 |
33.10 |
Verificata |
5.29 |
Circolare da 0.8 |
98.92 |
5.43 |
-8.40 |
8Ø16 |
98.92 |
227.77 |
41.93 |
Verificata |
5.43 |
Circolare da 0.8 |
100.68 |
4.23 |
-7.17 |
8Ø16 |
100.67 |
228.27 |
54.01 |
Verificata |
5.57 |
Circolare da 0.8 |
102.44 |
3.21 |
-5.90 |
8Ø16 |
102.43 |
228.77 |
71.34 |
Verificata |
5.71 |
Circolare da 0.8 |
104.20 |
2.37 |
-4.73 |
8Ø16 |
104.20 |
229.27 |
96.78 |
Verificata |
5.86 |
Circolare da 0.8 |
105.96 |
1.69 |
-3.64 |
8Ø16 |
105.95 |
229.77 |
135.66 |
Verificata |
6.00 |
Circolare da 0.8 |
107.72 |
1.16 |
-2.81 |
8Ø16 |
107.72 |
230.27 |
198.90 |
Verificata |
6.14 |
Circolare da 0.8 |
109.48 |
0.76 |
-2.09 |
8Ø16 |
109.47 |
230.76 |
303.53 |
Verificata |
6.29 |
Circolare da 0.8 |
111.24 |
0.46 |
-1.50 |
8Ø16 |
111.25 |
231.26 |
504.29 |
Verificata |
6.43 |
Circolare da 0.8 |
113.00 |
0.24 |
-0.93 |
8Ø16 |
113.00 |
231.76 |
964.98 |
Verificata |
6.57 |
Circolare da 0.8 |
114.76 |
0.11 |
-0.55 |
8Ø16 |
114.75 |
232.25 |
2063.61 |
Verificata |
6.71 |
Circolare da 0.8 |
116.52 |
0.04 |
-0.20 |
8Ø16 |
116.52 |
232.75 |
6544.70 |
Verificata |
6.86 |
Circolare da 0.8 |
118.28 |
0.01 |
-0.03 |
8Ø16 |
118.29 |
233.25 |
2332.46 |
Verificata |
Z [m] |
Def.Max calcestruzzo |
Def.Max acciaio |
Asse neutro [cm] |
Passo staffe [cm] |
Resistenza taglio kN |
Misura sicurezza taglio |
Verifica a taglio |
Angolo inclinazione puntoni [°] |
0.27 |
3.50E-03 |
-1.94E-02 |
-28.21 |
19.1Ø8 |
Calcestruzzo=678.72 Staffe=306.07 |
26.77 |
Verificata |
21.80 |
0.53 |
3.50E-03 |
-1.93E-02 |
28.16 |
19.1Ø8 |
Calcestruzzo=679.11 Staffe=306.07 |
27.61 |
Verificata |
21.80 |
0.80 |
3.50E-03 |
-1.92E-02 |
28.12 |
19.1Ø8 |
Calcestruzzo=679.51 Staffe=306.07 |
29.05 |
Verificata |
21.80 |
1.07 |
3.50E-03 |
-1.91E-02 |
28.08 |
19.1Ø8 |
Calcestruzzo=679.91 Staffe=306.07 |
31.41 |
Verificata |
21.80 |
1.33 |
3.50E-03 |
-1.90E-02 |
28.03 |
19.1Ø8 |
Calcestruzzo=698.83 Staffe=304.06 |
36.21 |
Verificata |
21.80 |
1.60 |
3.50E-03 |
-1.89E-02 |
27.99 |
19.1Ø8 |
Calcestruzzo=699.24 Staffe=304.06 |
42.11 |
Verificata |
21.80 |
1.87 |
3.50E-03 |
-1.89E-02 |
27.95 |
19.1Ø8 |
Calcestruzzo=699.65 Staffe=304.06 |
52.42 |
Verificata |
21.80 |
2.13 |
3.50E-03 |
-1.88E-02 |
27.90 |
19.1Ø8 |
Calcestruzzo=700.05 Staffe=304.06 |
72.85 |
Verificata |
21.80 |
2.40 |
3.50E-03 |
-1.87E-02 |
27.85 |
19.1Ø8 |
Calcestruzzo=700.46 Staffe=304.06 |
132.26 |
Verificata |
21.80 |
2.67 |
3.50E-03 |
-1.86E-02 |
27.81 |
19.1Ø8 |
Calcestruzzo=700.87 Staffe=304.06 |
1195.88 |
Verificata |
21.80 |
2.93 |
3.50E-03 |
-1.85E-02 |
27.76 |
19.1Ø8 |
Calcestruzzo=701.28 Staffe=304.06 |
151.32 |
Verificata |
21.80 |
3.20 |
3.50E-03 |
-1.84E-02 |
27.72 |
19.1Ø8 |
Calcestruzzo=701.69 Staffe=304.06 |
68.40 |
Verificata |
21.80 |
3.47 |
3.50E-03 |
-1.84E-02 |
27.67 |
19.1Ø8 |
Calcestruzzo=702.09 Staffe=304.06 |
42.51 |
Verificata |
21.80 |
3.73 |
3.50E-03 |
-1.83E-02 |
27.63 |
19.1Ø8 |
Calcestruzzo=702.50 Staffe=304.06 |
30.73 |
Verificata |
21.80 |
4.00 |
3.50E-03 |
-1.82E-02 |
27.59 |
19.1Ø8 |
Calcestruzzo=702.91 Staffe=304.06 |
26.70 |
Verificata |
21.80 |
4.14 |
3.50E-03 |
-1.82E-02 |
27.56 |
19.1Ø8 |
Calcestruzzo=703.13 Staffe=304.06 |
29.58 |
Verificata |
21.80 |
4.29 |
3.50E-03 |
-1.81E-02 |
27.54 |
19.1Ø8 |
Calcestruzzo=703.35 Staffe=304.06 |
32.44 |
Verificata |
21.80 |
4.43 |
3.50E-03 |
-1.81E-02 |
27.51 |
19.1Ø8 |
Calcestruzzo=703.57 Staffe=304.06 |
36.51 |
Verificata |
21.80 |
4.57 |
3.50E-03 |
-1.80E-02 |
27.49 |
19.1Ø8 |
Calcestruzzo=703.78 Staffe=304.06 |
40.83 |
Verificata |
21.80 |
4.71 |
3.50E-03 |
-1.80E-02 |
27.47 |
19.1Ø8 |
Calcestruzzo=704.00 Staffe=304.06 |
45.77 |
Verificata |
21.80 |
4.86 |
3.50E-03 |
-1.80E-02 |
27.44 |
19.1Ø8 |
Calcestruzzo=704.22 Staffe=304.06 |
53.27 |
Verificata |
21.80 |
5.00 |
3.50E-03 |
-1.79E-02 |
27.42 |
19.1Ø8 |
Calcestruzzo=704.44 Staffe=304.06 |
61.21 |
Verificata |
21.80 |
5.14 |
3.50E-03 |
-1.79E-02 |
27.39 |
19.1Ø8 |
Calcestruzzo=704.66 Staffe=304.06 |
70.15 |
Verificata |
21.80 |
5.29 |
3.50E-03 |
-1.78E-02 |
27.37 |
19.1Ø8 |
Calcestruzzo=704.88 Staffe=304.06 |
83.88 |
Verificata |
21.80 |
5.43 |
3.50E-03 |
-1.78E-02 |
27.34 |
19.1Ø8 |
Calcestruzzo=705.10 Staffe=304.06 |
98.40 |
Verificata |
21.80 |
5.57 |
3.50E-03 |
-1.77E-02 |
27.32 |
19.1Ø8 |
Calcestruzzo=705.31 Staffe=304.06 |
119.54 |
Verificata |
21.80 |
5.71 |
3.50E-03 |
-1.77E-02 |
27.29 |
19.1Ø8 |
Calcestruzzo=705.53 Staffe=304.06 |
149.27 |
Verificata |
21.80 |
5.86 |
3.50E-03 |
-1.77E-02 |
27.26 |
19.1Ø8 |
Calcestruzzo=705.75 Staffe=304.06 |
193.83 |
Verificata |
21.80 |
6.00 |
3.50E-03 |
-1.76E-02 |
27.24 |
19.1Ø8 |
Calcestruzzo=705.97 Staffe=304.06 |
251.29 |
Verificata |
21.80 |
6.14 |
3.50E-03 |
-1.76E-02 |
27.22 |
19.1Ø8 |
Calcestruzzo=706.19 Staffe=304.06 |
338.67 |
Verificata |
21.80 |
6.29 |
3.50E-03 |
-1.75E-02 |
27.19 |
19.1Ø8 |
Calcestruzzo=706.41 Staffe=304.06 |
471.44 |
Verificata |
21.80 |
6.43 |
3.50E-03 |
-1.75E-02 |
27.17 |
19.1Ø8 |
Calcestruzzo=706.62 Staffe=304.06 |
760.85 |
Verificata |
21.80 |
6.57 |
3.50E-03 |
-1.75E-02 |
27.15 |
19.1Ø8 |
Calcestruzzo=706.84 Staffe=304.06 |
1284.63 |
Verificata |
21.80 |
6.71 |
3.50E-03 |
-1.74E-02 |
27.12 |
19.1Ø8 |
Calcestruzzo=707.06 Staffe=304.06 |
3587.39 |
Verificata |
21.80 |
6.86 |
3.50E-03 |
-1.74E-02 |
27.10 |
19.1Ø8 |
Calcestruzzo=707.28 Staffe=304.06 |
22630.22 |
Verificata |
21.80 |
Fase: 1 - Combinazione: 3
Z [m] |
Nome sezione |
N [kN] |
M [kNm] |
T [kN] |
Nr.Barre Diametro |
Nu [kN] |
Mu [kNm] |
Cond. Verfica Flessione |
Ver. Fless. |
0.27 |
Circolare da 0.8 |
38.81 |
-0.02 |
27.85 |
8Ø16 |
38.80 |
-210.65 |
11307.73 |
Verificata |
0.53 |
Circolare da 0.8 |
42.10 |
7.41 |
27.03 |
8Ø16 |
42.10 |
211.60 |
28.56 |
Verificata |
0.80 |
Circolare da 0.8 |
45.38 |
14.62 |
25.77 |
8Ø16 |
45.39 |
212.54 |
14.54 |
Verificata |
1.07 |
Circolare da 0.8 |
48.67 |
21.50 |
23.84 |
8Ø16 |
48.68 |
213.48 |
9.93 |
Verificata |
1.33 |
Circolare da 0.8 |
51.96 |
27.86 |
21.35 |
8Ø16 |
51.95 |
214.41 |
7.70 |
Verificata |
1.60 |
Circolare da 0.8 |
55.24 |
33.56 |
18.33 |
8Ø16 |
55.25 |
215.36 |
6.42 |
Verificata |
1.87 |
Circolare da 0.8 |
58.53 |
38.46 |
14.74 |
8Ø16 |
58.54 |
216.29 |
5.62 |
Verificata |
2.13 |
Circolare da 0.8 |
61.82 |
42.40 |
10.65 |
8Ø16 |
61.82 |
217.23 |
5.12 |
Verificata |
2.40 |
Circolare da 0.8 |
65.10 |
45.25 |
5.96 |
8Ø16 |
65.10 |
218.17 |
4.82 |
Verificata |
2.67 |
Circolare da 0.8 |
68.39 |
46.84 |
0.76 |
8Ø16 |
68.38 |
219.10 |
4.68 |
Verificata |
2.93 |
Circolare da 0.8 |
71.67 |
47.04 |
-5.01 |
8Ø16 |
71.68 |
220.04 |
4.68 |
Verificata |
3.20 |
Circolare da 0.8 |
74.96 |
45.71 |
-11.36 |
8Ø16 |
74.95 |
220.97 |
4.83 |
Verificata |
3.47 |
Circolare da 0.8 |
78.25 |
42.68 |
-18.19 |
8Ø16 |
78.24 |
221.91 |
5.20 |
Verificata |
3.73 |
Circolare da 0.8 |
81.53 |
37.83 |
-25.22 |
8Ø16 |
81.54 |
222.84 |
5.89 |
Verificata |
4.00 |
Circolare da 0.8 |
84.82 |
31.11 |
-29.16 |
8Ø16 |
84.81 |
223.77 |
7.19 |
Verificata |
4.14 |
Circolare da 0.8 |
86.58 |
26.97 |
-26.43 |
8Ø16 |
86.58 |
224.27 |
8.32 |
Verificata |
4.29 |
Circolare da 0.8 |
88.34 |
23.18 |
-23.85 |
8Ø16 |
88.33 |
224.77 |
9.70 |
Verificata |
4.43 |
Circolare da 0.8 |
90.10 |
19.78 |
-21.43 |
8Ø16 |
90.10 |
225.27 |
11.39 |
Verificata |
4.57 |
Circolare da 0.8 |
91.86 |
16.72 |
-19.10 |
8Ø16 |
91.86 |
225.77 |
13.51 |
Verificata |
4.71 |
Circolare da 0.8 |
93.62 |
14.00 |
-16.90 |
8Ø16 |
93.62 |
226.27 |
16.17 |
Verificata |
4.86 |
Circolare da 0.8 |
95.38 |
11.55 |
-14.74 |
8Ø16 |
95.39 |
226.77 |
19.63 |
Verificata |
5.00 |
Circolare da 0.8 |
97.14 |
9.44 |
-12.77 |
8Ø16 |
97.14 |
227.27 |
24.09 |
Verificata |
5.14 |
Circolare da 0.8 |
98.90 |
7.62 |
-10.96 |
8Ø16 |
98.90 |
227.77 |
29.90 |
Verificata |
5.29 |
Circolare da 0.8 |
100.66 |
6.05 |
-9.27 |
8Ø16 |
100.67 |
228.27 |
37.76 |
Verificata |
5.43 |
Circolare da 0.8 |
102.42 |
4.71 |
-7.90 |
8Ø16 |
102.42 |
228.77 |
48.59 |
Verificata |
5.57 |
Circolare da 0.8 |
104.18 |
3.58 |
-6.60 |
8Ø16 |
104.18 |
229.27 |
64.03 |
Verificata |
5.71 |
Circolare da 0.8 |
105.95 |
2.65 |
-5.22 |
8Ø16 |
105.95 |
229.77 |
86.82 |
Verificata |
5.86 |
Circolare da 0.8 |
107.71 |
1.89 |
-4.04 |
8Ø16 |
107.70 |
230.26 |
121.82 |
Verificata |
6.00 |
Circolare da 0.8 |
109.47 |
1.31 |
-3.16 |
8Ø16 |
109.47 |
230.76 |
176.41 |
Verificata |
6.14 |
Circolare da 0.8 |
111.23 |
0.86 |
-2.38 |
8Ø16 |
111.22 |
231.25 |
269.79 |
Verificata |
6.29 |
Circolare da 0.8 |
112.99 |
0.52 |
-1.68 |
8Ø16 |
112.99 |
231.75 |
447.19 |
Verificata |
6.43 |
Circolare da 0.8 |
114.75 |
0.27 |
-1.04 |
8Ø16 |
114.75 |
232.25 |
849.60 |
Verificata |
6.57 |
Circolare da 0.8 |
116.51 |
0.13 |
-0.59 |
8Ø16 |
116.51 |
232.74 |
1854.80 |
Verificata |
6.71 |
Circolare da 0.8 |
118.27 |
0.04 |
-0.24 |
8Ø16 |
118.26 |
233.24 |
5475.38 |
Verificata |
6.86 |
Circolare da 0.8 |
120.03 |
0.01 |
-0.03 |
8Ø16 |
120.04 |
233.74 |
2337.39 |
Verificata |
Z [m] |
Def.Max calcestruzzo |
Def.Max acciaio |
Asse neutro [cm] |
Passo staffe [cm] |
Resistenza taglio kN |
Misura sicurezza taglio |
Verifica a taglio |
Angolo inclinazione puntoni [°] |
0.27 |
3.50E-03 |
-1.93E-02 |
-28.18 |
19.1Ø8 |
Calcestruzzo=678.93 Staffe=306.07 |
24.37 |
Verificata |
21.80 |
0.53 |
3.50E-03 |
-1.92E-02 |
28.14 |
19.1Ø8 |
Calcestruzzo=679.33 Staffe=306.07 |
25.13 |
Verificata |
21.80 |
0.80 |
3.50E-03 |
-1.91E-02 |
28.10 |
19.1Ø8 |
Calcestruzzo=679.72 Staffe=306.07 |
26.38 |
Verificata |
21.80 |
1.07 |
3.50E-03 |
-1.91E-02 |
28.06 |
19.1Ø8 |
Calcestruzzo=698.64 Staffe=304.06 |
29.30 |
Verificata |
21.80 |
1.33 |
3.50E-03 |
-1.90E-02 |
28.01 |
19.1Ø8 |
Calcestruzzo=699.05 Staffe=304.06 |
32.74 |
Verificata |
21.80 |
1.60 |
3.50E-03 |
-1.89E-02 |
27.97 |
19.1Ø8 |
Calcestruzzo=699.46 Staffe=304.06 |
38.15 |
Verificata |
21.80 |
1.87 |
3.50E-03 |
-1.88E-02 |
27.92 |
19.1Ø8 |
Calcestruzzo=699.86 Staffe=304.06 |
47.47 |
Verificata |
21.80 |
2.13 |
3.50E-03 |
-1.87E-02 |
27.88 |
19.1Ø8 |
Calcestruzzo=700.27 Staffe=304.06 |
65.74 |
Verificata |
21.80 |
2.40 |
3.50E-03 |
-1.86E-02 |
27.83 |
19.1Ø8 |
Calcestruzzo=700.68 Staffe=304.06 |
117.52 |
Verificata |
21.80 |
2.67 |
3.50E-03 |
-1.86E-02 |
27.78 |
19.1Ø8 |
Calcestruzzo=701.09 Staffe=304.06 |
921.80 |
Verificata |
21.80 |
2.93 |
3.50E-03 |
-1.85E-02 |
27.74 |
19.1Ø8 |
Calcestruzzo=701.50 Staffe=304.06 |
140.14 |
Verificata |
21.80 |
3.20 |
3.50E-03 |
-1.84E-02 |
27.69 |
19.1Ø8 |
Calcestruzzo=701.90 Staffe=304.06 |
61.77 |
Verificata |
21.80 |
3.47 |
3.50E-03 |
-1.83E-02 |
27.65 |
19.1Ø8 |
Calcestruzzo=702.31 Staffe=304.06 |
38.61 |
Verificata |
21.80 |
3.73 |
3.50E-03 |
-1.82E-02 |
27.61 |
19.1Ø8 |
Calcestruzzo=702.72 Staffe=304.06 |
27.87 |
Verificata |
21.80 |
4.00 |
3.50E-03 |
-1.82E-02 |
27.56 |
19.1Ø8 |
Calcestruzzo=703.13 Staffe=304.06 |
24.12 |
Verificata |
21.80 |
4.14 |
3.50E-03 |
-1.81E-02 |
27.54 |
19.1Ø8 |
Calcestruzzo=703.35 Staffe=304.06 |
26.62 |
Verificata |
21.80 |
4.29 |
3.50E-03 |
-1.81E-02 |
27.51 |
19.1Ø8 |
Calcestruzzo=703.56 Staffe=304.06 |
29.50 |
Verificata |
21.80 |
4.43 |
3.50E-03 |
-1.80E-02 |
27.49 |
19.1Ø8 |
Calcestruzzo=703.78 Staffe=304.06 |
32.85 |
Verificata |
21.80 |
4.57 |
3.50E-03 |
-1.80E-02 |
27.47 |
19.1Ø8 |
Calcestruzzo=704.00 Staffe=304.06 |
36.85 |
Verificata |
21.80 |
4.71 |
3.50E-03 |
-1.80E-02 |
27.44 |
19.1Ø8 |
Calcestruzzo=704.22 Staffe=304.06 |
41.68 |
Verificata |
21.80 |
4.86 |
3.50E-03 |
-1.79E-02 |
27.42 |
19.1Ø8 |
Calcestruzzo=704.44 Staffe=304.06 |
47.80 |
Verificata |
21.80 |
5.00 |
3.50E-03 |
-1.79E-02 |
27.39 |
19.1Ø8 |
Calcestruzzo=704.66 Staffe=304.06 |
55.19 |
Verificata |
21.80 |
5.14 |
3.50E-03 |
-1.78E-02 |
27.37 |
19.1Ø8 |
Calcestruzzo=704.88 Staffe=304.06 |
64.33 |
Verificata |
21.80 |
5.29 |
3.50E-03 |
-1.78E-02 |
27.34 |
19.1Ø8 |
Calcestruzzo=705.09 Staffe=304.06 |
76.02 |
Verificata |
21.80 |
5.43 |
3.50E-03 |
-1.77E-02 |
27.32 |
19.1Ø8 |
Calcestruzzo=705.31 Staffe=304.06 |
89.33 |
Verificata |
21.80 |
5.57 |
3.50E-03 |
-1.77E-02 |
27.29 |
19.1Ø8 |
Calcestruzzo=705.53 Staffe=304.06 |
106.98 |
Verificata |
21.80 |
5.71 |
3.50E-03 |
-1.77E-02 |
27.26 |
19.1Ø8 |
Calcestruzzo=705.75 Staffe=304.06 |
135.12 |
Verificata |
21.80 |
5.86 |
3.50E-03 |
-1.76E-02 |
27.24 |
19.1Ø8 |
Calcestruzzo=705.97 Staffe=304.06 |
174.73 |
Verificata |
21.80 |
6.00 |
3.50E-03 |
-1.76E-02 |
27.22 |
19.1Ø8 |
Calcestruzzo=706.19 Staffe=304.06 |
223.13 |
Verificata |
21.80 |
6.14 |
3.50E-03 |
-1.75E-02 |
27.19 |
19.1Ø8 |
Calcestruzzo=706.40 Staffe=304.06 |
297.42 |
Verificata |
21.80 |
6.29 |
3.50E-03 |
-1.75E-02 |
27.17 |
19.1Ø8 |
Calcestruzzo=706.62 Staffe=304.06 |
421.30 |
Verificata |
21.80 |
6.43 |
3.50E-03 |
-1.75E-02 |
27.15 |
19.1Ø8 |
Calcestruzzo=706.84 Staffe=304.06 |
680.96 |
Verificata |
21.80 |
6.57 |
3.50E-03 |
-1.74E-02 |
27.12 |
19.1Ø8 |
Calcestruzzo=707.06 Staffe=304.06 |
1189.08 |
Verificata |
21.80 |
6.71 |
3.50E-03 |
-1.74E-02 |
27.10 |
19.1Ø8 |
Calcestruzzo=707.28 Staffe=304.06 |
2936.04 |
Verificata |
21.80 |
6.86 |
3.50E-03 |
-1.73E-02 |
27.07 |
19.1Ø8 |
Calcestruzzo=707.50 Staffe=304.06 |
21556.11 |
Verificata |
21.80 |
Indice
1.Archivio materiali 17
2.Archivio sezioni… 17
3.Archivio cordoli ancoraggio tiranti 17
4.Archivio tiranti 17
5.Dati generali FEM 17
6.Calcolo coefficienti sismici 18
7.Tiranti 19
8.Fase: 1 Analisi geotecnica 19
8.1.Fase: 1 - Combinazione: 1 19
8.2.Fase: 1 - Combinazione: 2 21
8.3.Fase: 1 - Combinazione: 3 23
9.Fase: 1 Risultati analisi strutturale 26
9.1.Fase: 1 - Combinazione: 1 26
9.2.Fase: 1 - Combinazione: 3 31
Indice 37
© Geostru Software